Page de travaux avec B.Broche et D.Ruiz-Pino
Esssais en cours (3 Oct. 2017)
Entrainement des SOM avec la deuxième série de données, que j'appelle ici 'tables B'. Cette nouvelle série comporte en plus les variables Salinite', 'Delta_pH', 'Delta_AT' et 'Delta_DIC'.
Pour voir quelques resultats avec l'acienne serie, regardez la page premiers_essais.
Stats et histogrammes de base :
Base B
Avec en plus la 'Salinite', 'Delta_pH', 'Delta_AT', 'Delta_DIC'.
CoccoLithes :
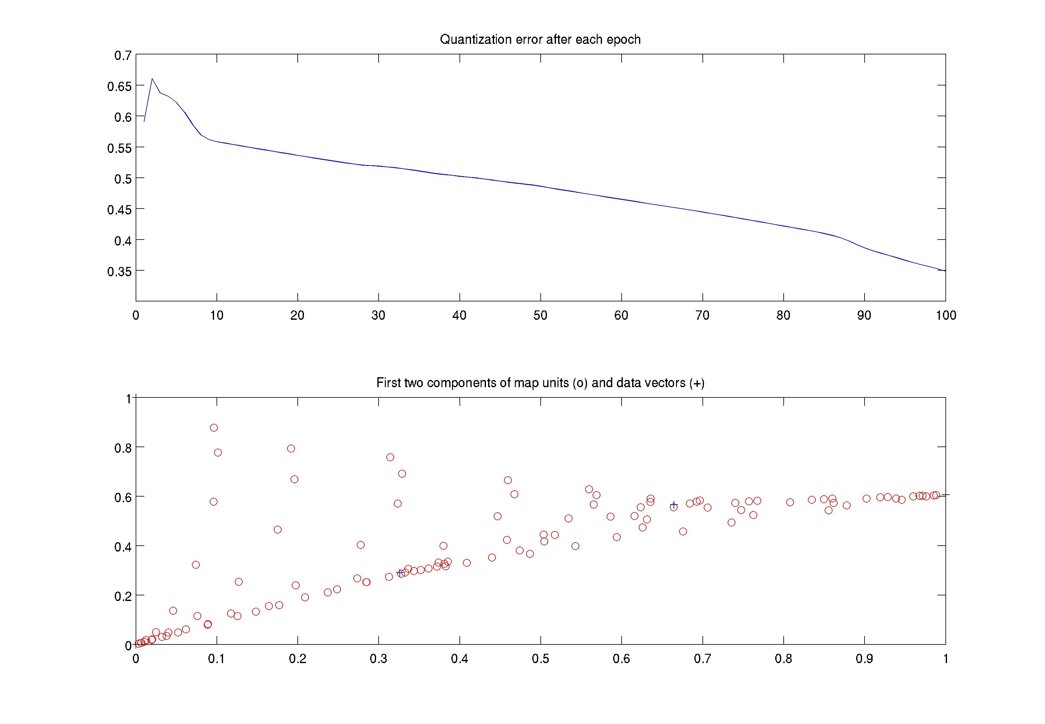
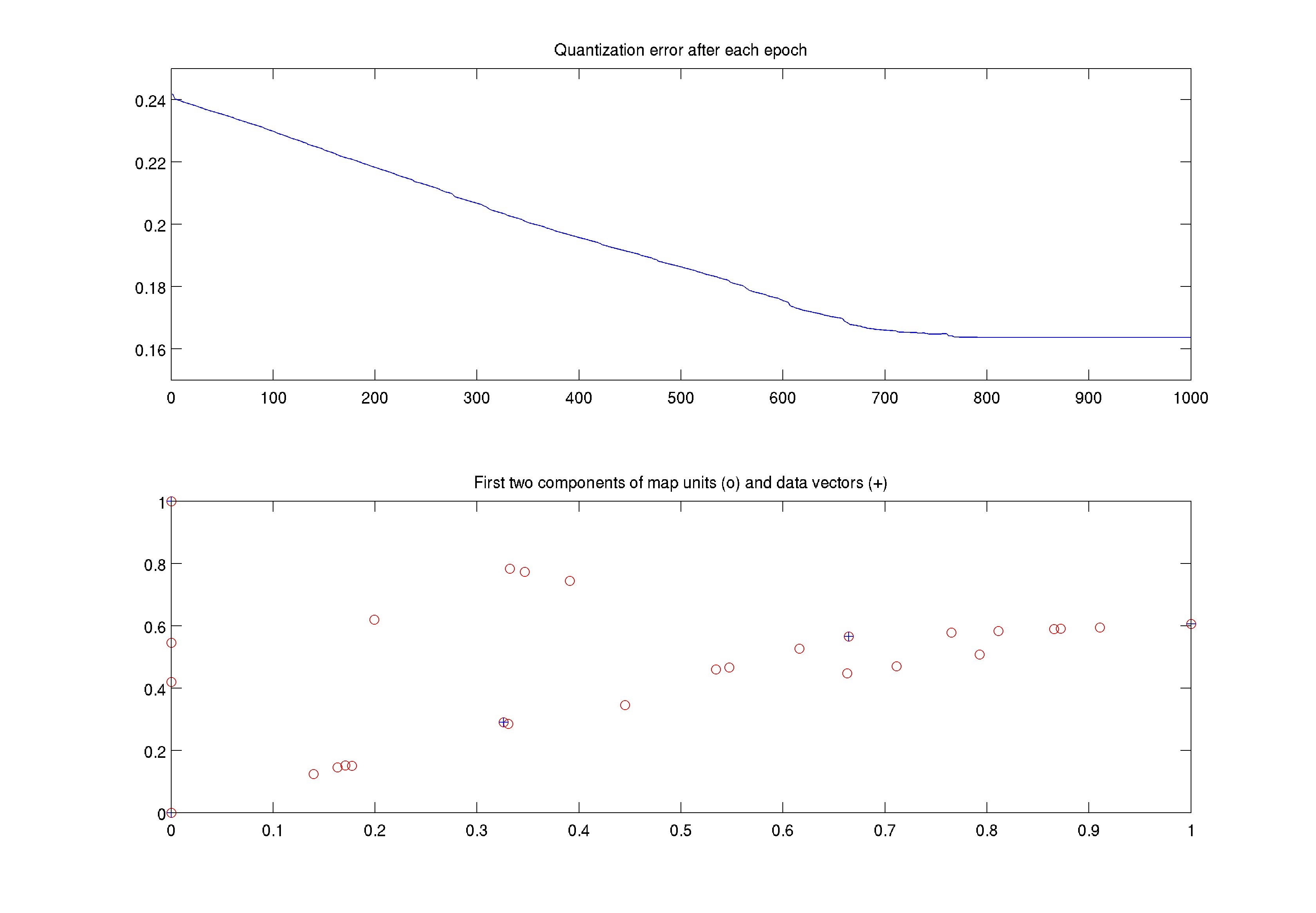
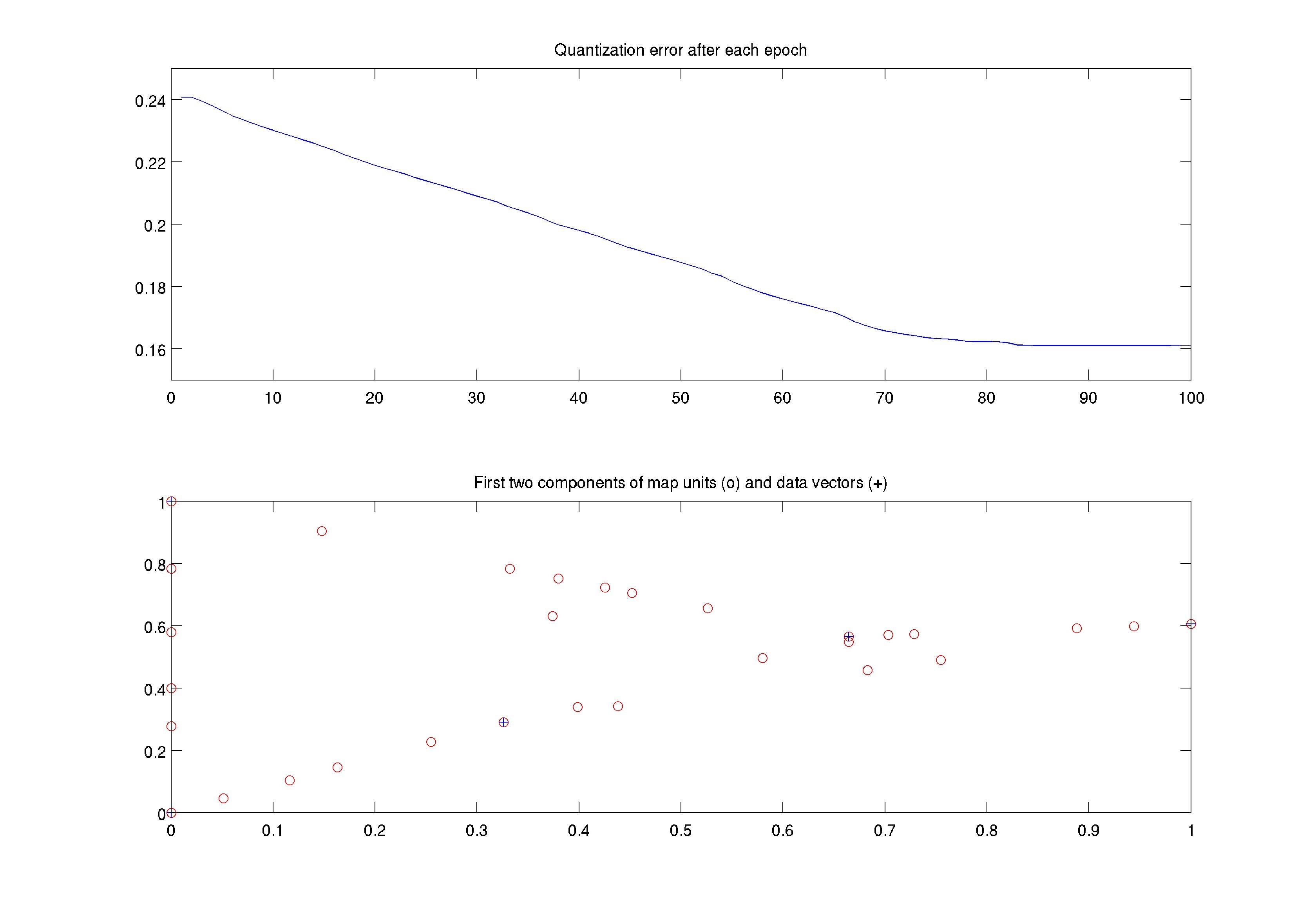
- CoccoLithes-15_Vars-20170928T134107-S4-Sl-Dh-Dt-Dc-Dl-Dw-Cl-Cw-Da-Ca-Dr-Cr-La-Lo-e_10_50_100 :
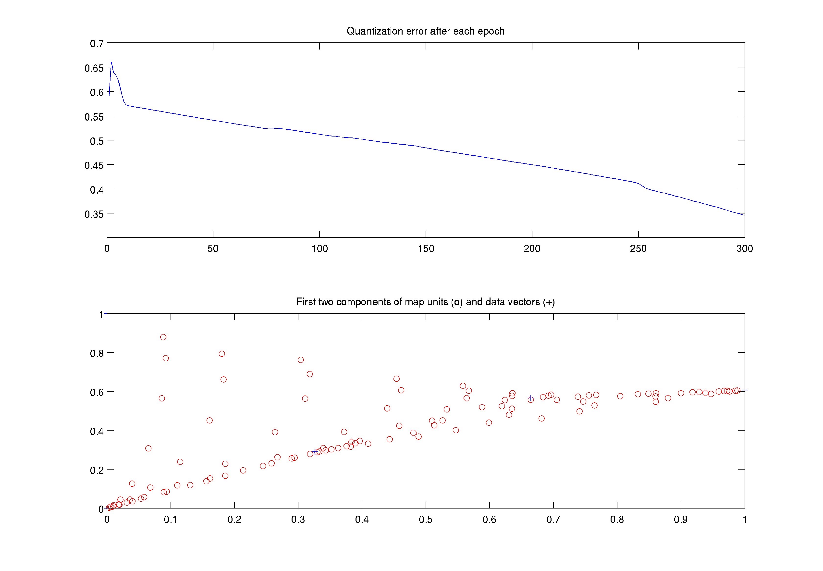
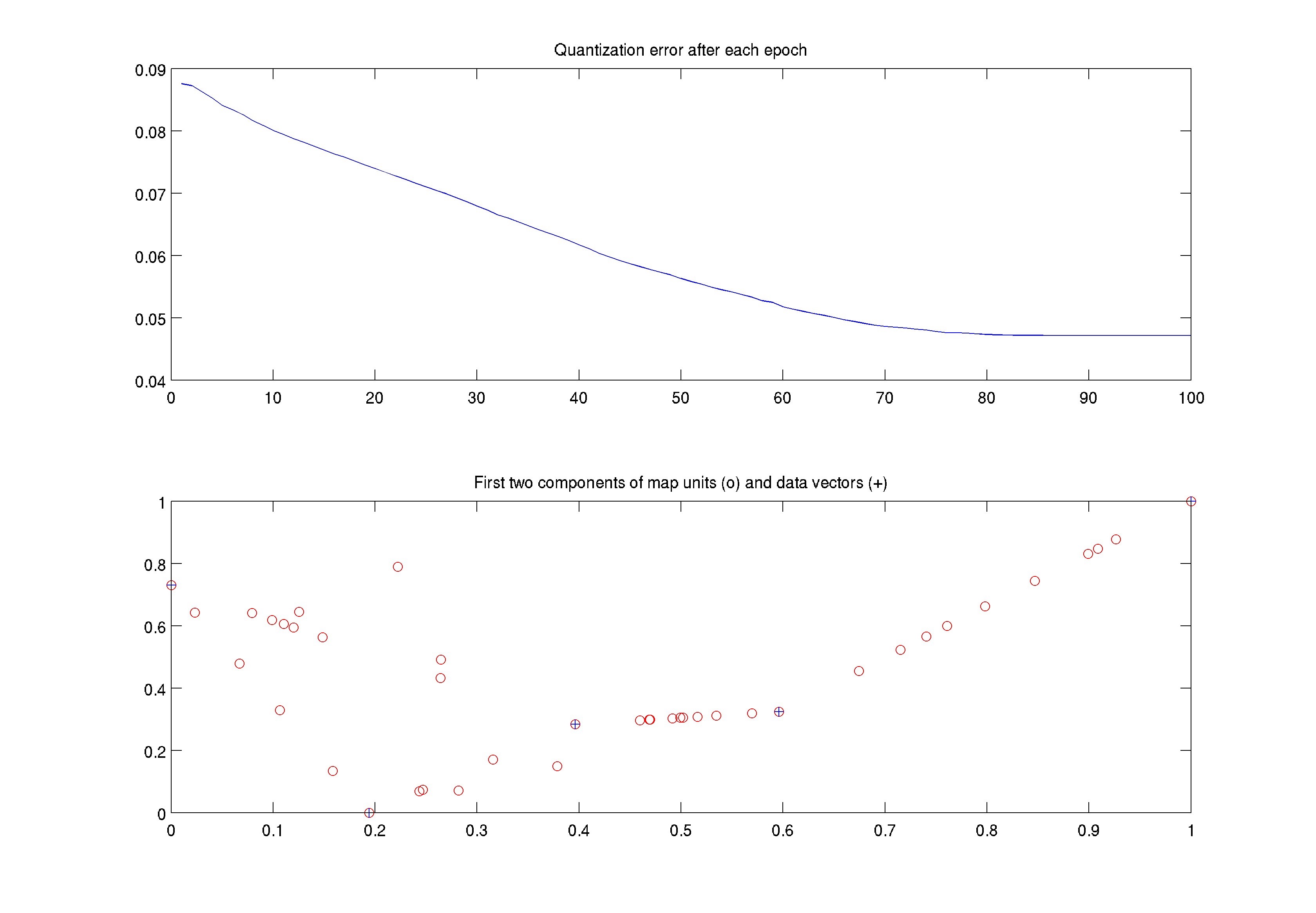
- CoccoLithes-15_Vars-20170928T134140-S4-Sl-Dh-Dt-Dc-Dl-Dw-Cl-Cw-Da-Ca-Dr-Cr-La-Lo-e_50_300_500 :
- CoccoLithes-15_Vars-20170928T134232-S4-Sl-Dh-Dt-Dc-Dl-Dw-Cl-Cw-Da-Ca-Dr-Cr-La-Lo-e_100_500_1000 :
- CoccoLithes-15_Vars-20170928T134358-S4-Sl-Dh-Dt-Dc-Dl-Dw-Cl-Cw-Da-Ca-Dr-Cr-La-Lo-e_300_1500_3000 :
CoccoSpheres :
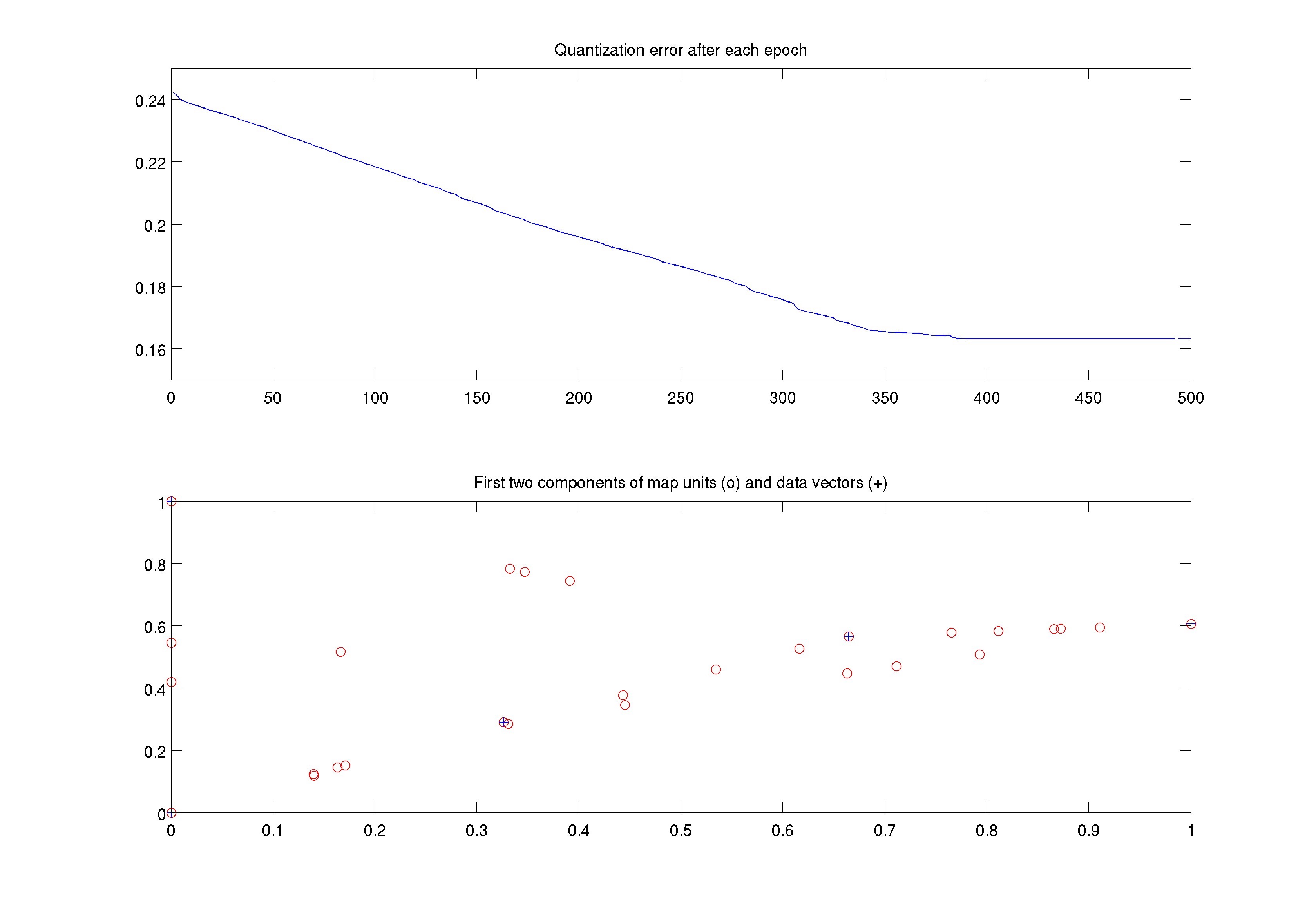
- CoccoSpheres-10_Vars-20170928T135418-S4-Sl-Dh-Dt-Dc-D1-D2-Md-Ry-Cv-e_10_50_100 :
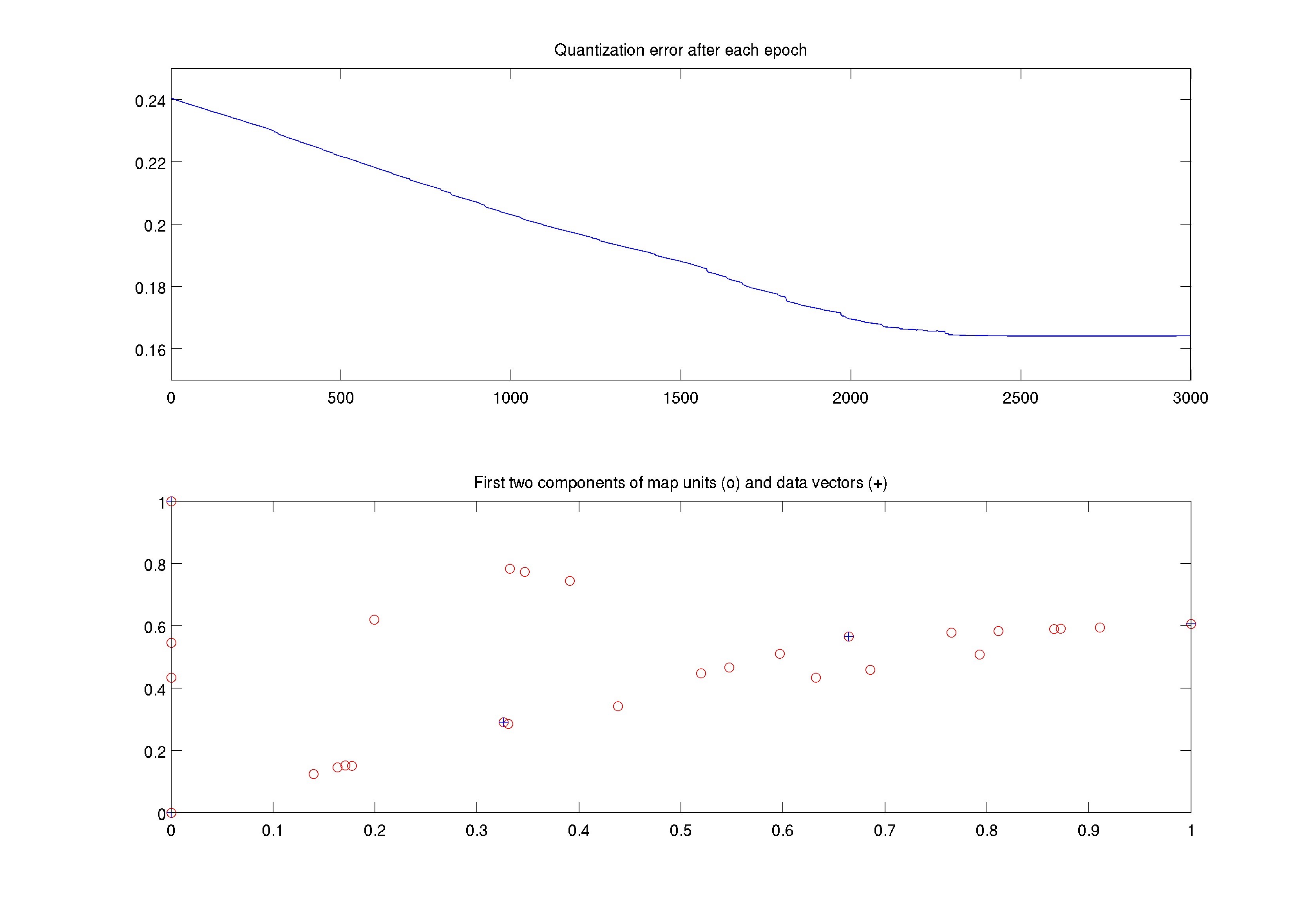
- CoccoSpheres-10_Vars-20170928T135506-S4-Sl-Dh-Dt-Dc-D1-D2-Md-Ry-Cv-e_50_300_500 :
- CoccoSpheres-10_Vars-20170928T135641-S4-Sl-Dh-Dt-Dc-D1-D2-Md-Ry-Cv-e_100_500_1000 :
- CoccoSpheres-10_Vars-20170928T135858-S4-Sl-Dh-Dt-Dc-D1-D2-Md-Ry-Cv-e_300_1500_3000 :
Figures des tables B (15 var) de CoccoLithes :
|
|
|
|
|
|
|
Figures des tables B (10 var) de CoccoSpheres :
|
|
|
|
|
|
|
|
CoccoLithes-15_Vars-20170928T134107-S4-Sl-Dh-Dt-Dc-Dl-Dw-Cl-Cw-Da-Ca-Dr-Cr-La-Lo-e_10_50_100 :
|
|
|
|
|
|
|
|
|
|
|
|
|
|
CoccoLithes-15_Vars-20170928T134140-S4-Sl-Dh-Dt-Dc-Dl-Dw-Cl-Cw-Da-Ca-Dr-Cr-La-Lo-e_50_300_500 :
|
|
|
|
|
|
|
|
|
|
|
|
|
|
CoccoLithes-15_Vars-20170928T134232-S4-Sl-Dh-Dt-Dc-Dl-Dw-Cl-Cw-Da-Ca-Dr-Cr-La-Lo-e_100_500_1000 :
|
|
|
|
|
|
|
|
|
|
|
|
|
|
CoccoLithes-15_Vars-20170928T134358-S4-Sl-Dh-Dt-Dc-Dl-Dw-Cl-Cw-Da-Ca-Dr-Cr-La-Lo-e_300_1500_3000 :
|
|
|
|
|
|
|
|
|
|
|
|
|
|
CoccoSpheres-10_Vars-20170928T135418-S4-Sl-Dh-Dt-Dc-D1-D2-Md-Ry-Cv-e_10_50_100 :
|
|
|
|
|
|
|
|
|
|
|
|
|
|
CoccoSpheres-10_Vars-20170928T135506-S4-Sl-Dh-Dt-Dc-D1-D2-Md-Ry-Cv-e_50_300_500 :
|
|
|
|
|
|
|
|
|
|
|
|
|
|
CoccoSpheres-10_Vars-20170928T135641-S4-Sl-Dh-Dt-Dc-D1-D2-Md-Ry-Cv-e_100_500_1000 :
|
|
|
|
|
|
|
|
|
|
|
|
|
|
CoccoSpheres-10_Vars-20170928T135858-S4-Sl-Dh-Dt-Dc-D1-D2-Md-Ry-Cv-e_300_1500_3000 :
|
|
|
|
|
|
|
|
|
|
|
|
|
|






































































































